
Sodium alendronate; Alendronic acid monosodium salt; Fosamax; Alendronate sodium trihydrate
CAS 121268-17-5
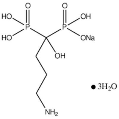
Chemical Formula C4H12NNaO7P2 (monosodium salt trihydrate)
Molecular Weight 325.12 g/mol (trihydrate form)
Alendronate Sodium USP is a bisphosphonate compound used in the pharmaceutical industry for the treatment and prevention of osteoporosis and other bone-related disorders. It works by inhibiting osteoclast-mediated bone resorption, thereby increasing bone mineral density. This compound is commonly prescribed to postmenopausal women, individuals on long-term corticosteroid therapy, and patients with Paget’s disease of bone.
1. Pharmaceuticals
| Assay | ≥ 97.0% (USP standard) |
|---|---|
| Appearance | White to off-white crystalline powder |
| Odor | Odorless |
| Boiling Point | Decomposes before boiling |
| Melting Point | Not well defined; decomposes |
| Density | Not available |
| Solubility | Soluble in water; insoluble in organic solvents |
| Viscosity | Not applicable |
| Flash Point | Not applicable |
1. What is the current price of Alendronate sodium USP in India?
The price of Alendronate sodium USP can vary based on factors such as purity, quantity, etc. For the most accurate and competitive pricing, please contact us at +91.6301 00 6301 directly for a customized quote tailored to your needs.
2. Where can I buy Alendronate sodium USP in India?
You can purchase Alendronate sodium USP from MULTICHEM, a leading exporter with a reputation for quality and reliability. We provide convenient options for bulk orders and direct shipments across global markets. For more details on how to place an order, please visit our website or contact our sales team.
3. What is the minimum order quantity (MOQ) for Alendronate sodium USP?
Our minimum order quantity (MOQ) for Alendronate sodium USP is designed to cater to both small-scale and large-scale needs. The MOQ depends on the packing size of the product which could range from 25 kg to 250 kg.
4. How can I ensure the quality of Alendronate sodium USP supplied by Multichem?
We adhere to stringent quality control processes to ensure that our products meet the highest standards of purity and effectiveness. They undergo rigorous testing and quality checks to guarantee that they comply with industry specifications. We provide a Certificate of Analysis (CoA) with every shipment to ensure transparency and quality assurance.